Официальное опубликование правовых актов
ОФИЦИАЛЬНОЕ ОПУБЛИКОВАНИЕ
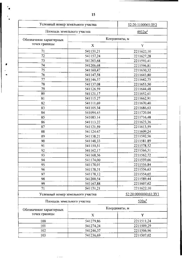
Приказ Министерства градостроительной деятельности и развития агломераций Нижегородской области от 01.02.2021 № 06-01-03/6 "Об утверждении документации по планировке территории участка автомобильной дороги (22 ОП МЗ 22Н-0708) Толоконцево - Могильцы с мостом через р. Линда на км 5+351 в городском округе г. Бор Нижегородской области"
(Зарегистрирован 01.03.2021 № 16854-330-006-01-03/6)
Номер опубликования: 5201202103050003
Дата опубликования: 05.03.2021
Страница №17 из 21:
Увеличить