Официальное опубликование правовых актов
ОФИЦИАЛЬНОЕ ОПУБЛИКОВАНИЕ
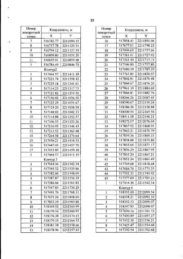
Приказ Министерства градостроительной деятельности и развития агломераций Нижегородской области от 30.12.2020 № 06-01-03/470 "Об утверждении проекта планировки и межевания территории, расположенной по пр. Гагарина, в Новинсом сельсовете, в районе д. Ольгино, д. Бешенцево, д. Ближнеконстантиново в г. Нижнем Новгороде"
(Зарегистрирован 01.02.2021 № 16742-330-006-01-03/47)
Номер опубликования: 5201202102030005
Дата опубликования: 03.02.2021
Страница №27 из 36:
Увеличить