Официальное опубликование правовых актов
ОФИЦИАЛЬНОЕ ОПУБЛИКОВАНИЕ
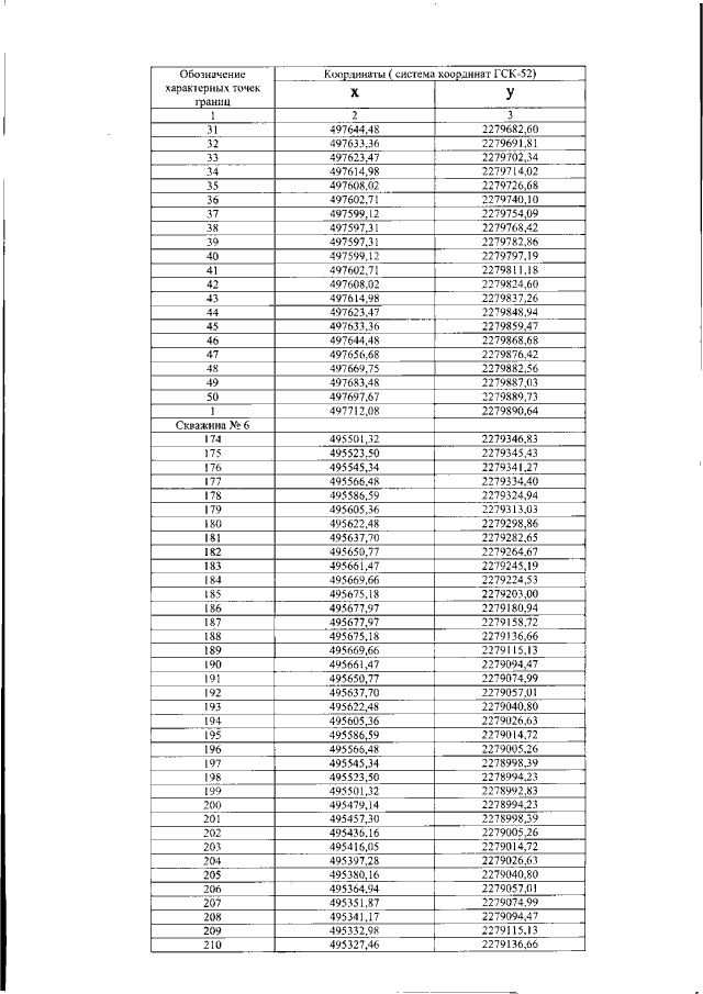
Приказ Министерства экологии и природных ресурсов Нижегородской области от 17.12.2020 № 319-451/20П/од
"Об установлении зон санитарной охраны водозаборных скважин №№ 2, 6, 8, 9, 11, 13МУП "Лысковокоммунсервис" в г. Лысково Нижегородской области"
(Зарегистрирован 18.01.2021 № 16682-319-319-451/20П/од)
Номер опубликования: 5201202101200018
Дата опубликования: 20.01.2021
Страница №21 из 22:
Увеличить