Официальное опубликование правовых актов
ОФИЦИАЛЬНОЕ ОПУБЛИКОВАНИЕ
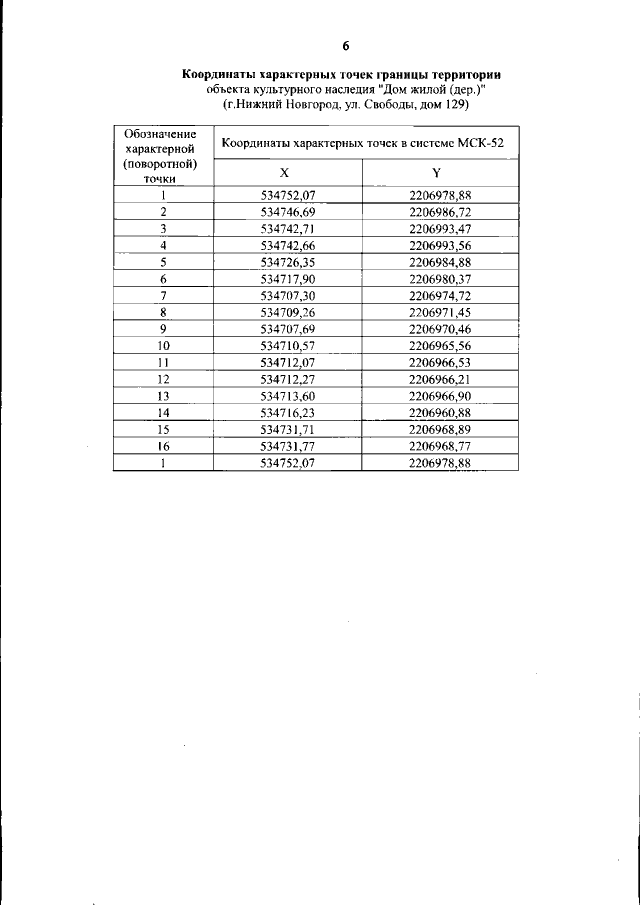
Приказ Управления государственной охраны объектов культурного наследия Нижегородской области от 02.12.2020 № 377 "Об утверждении границ и режимов использования территорий объектов культурного наследия, расположенных в г. Нижнем Новгороде и Нижегородской области"
(Зарегистрирован 23.12.2020 № 16575-518-377)
Номер опубликования: 5201202012280013
Дата опубликования: 28.12.2020
Страница №8 из 20:
Увеличить