Официальное опубликование правовых актов
ОФИЦИАЛЬНОЕ ОПУБЛИКОВАНИЕ
Приказ Министерства градостроительной деятельности и развития агломераций Нижегородской области от 06.11.2020 № 06-01-03/42
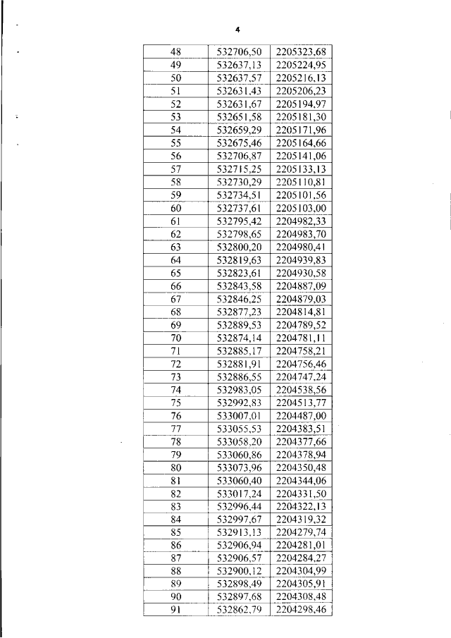
"Об утверждении документации по планировке территории, расположенной по ул. Торфяная в Сормовском районе города Нижнего Новгорода"
(Зарегистрирован 07.12.2020 № 16328-330-006-01-03/42)
Номер опубликования: 5201202012090007
Дата опубликования: 09.12.2020
Страница №6 из 14:
Увеличить