Официальное опубликование правовых актов
ОФИЦИАЛЬНОЕ ОПУБЛИКОВАНИЕ
Приказ Управления государственной охраны объектов культурного наследия Нижегородской области от 13.11.2020 № 358
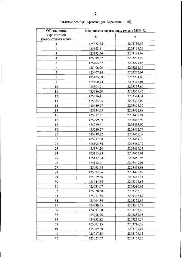
"Об утверждении описания местоположения границ защитных зон объектов культурного наследия, расположенных на территории городского округа город Арзамас Нижегородской области, режима использования земель в границах защитных зон объектов культурного наследия"
(Зарегистрирован 03.12.2020 № 16256-518-358)
Номер опубликования: 5201202012040009
Дата опубликования: 04.12.2020
Страница №5 из 102:
Увеличить