Приказ Министерства экологии и природных ресурсов Нижегородской области от 13.10.2020 № 319-399/20П/од
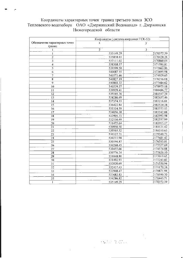
"Об установлении зон санитарной охраны Тепловского водозабора ОАО "Дзержинский Водоканал" г. Дзержинска Нижегородской области"
(Зарегистрирован 30.11.2020 № 16151-319-319-399/20П/од)
"Об установлении зон санитарной охраны Тепловского водозабора ОАО "Дзержинский Водоканал" г. Дзержинска Нижегородской области"
(Зарегистрирован 30.11.2020 № 16151-319-319-399/20П/од)
Номер опубликования: 5201202012020003
Дата опубликования:
02.12.2020
