Официальное опубликование правовых актов
ОФИЦИАЛЬНОЕ ОПУБЛИКОВАНИЕ
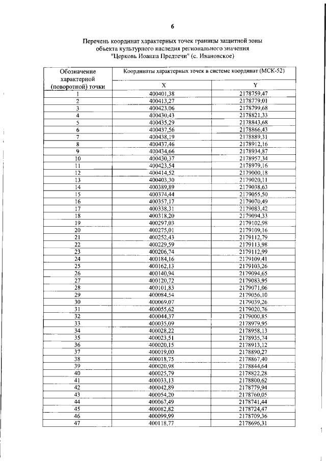
Приказ Управления государственной охраны объектов культурного наследия Нижегородской области от 05.11.2020 № 346
"Об утверждении описания местоположения границ защитных зон объектов культурного наследия, расположенных на территории Дивеевского района Нижегородской области, режима использования земель в границах защитных зон объектов культурного наследия"
(Зарегистрирован 25.11.2020 № 16144-518-346)
Номер опубликования: 5201202011270002
Дата опубликования: 27.11.2020
Страница №8 из 26:
Увеличить