Официальное опубликование правовых актов
ОФИЦИАЛЬНОЕ ОПУБЛИКОВАНИЕ
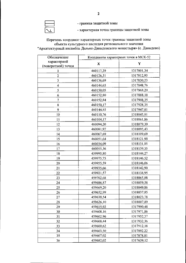
Приказ Управления государственной охраны объектов культурного наследия Нижегородской области от 03.11.2020 № 344
"Об утверждении описания местоположения границ защитных зон объектов культурного наследия, расположенных на территории Вачского района Нижегородской области, режима использования земель в границах защитных зон объектов культурного наследия"
(Зарегистрирован 24.11.2020 № 16087-518-344)
Номер опубликования: 5201202011250005
Дата опубликования: 25.11.2020
Страница №4 из 21:
Увеличить