Официальное опубликование правовых актов
ОФИЦИАЛЬНОЕ ОПУБЛИКОВАНИЕ
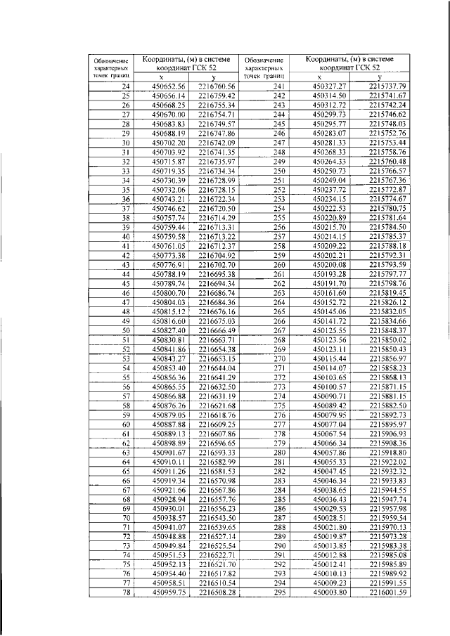
Приказ Министерства экологии и природных ресурсов Нижегородской области от 16.10.2020 № 319-402/20П/од
"Об установлении зон санитарной охраны подземных источников водоснабжения - артезианских скважин № 1 и № 2 ДОБО "Ласточка" Арзамасского ЛПУМГ - филиала ООО "Газпром трансгаз Нижний Новгород", расположенных в Вадском муниципальном округе Нижегородской области"
(Зарегистрирован 16.11.2020 № 15951-319-319-402/20П/од)
Номер опубликования: 5201202011180001
Дата опубликования: 18.11.2020
Страница №10 из 13:
Увеличить