Официальное опубликование правовых актов
ОФИЦИАЛЬНОЕ ОПУБЛИКОВАНИЕ
Приказ Министерства градостроительной деятельности и развития агломераций Нижегородской области от 12.10.2020 № 07-02-03/110
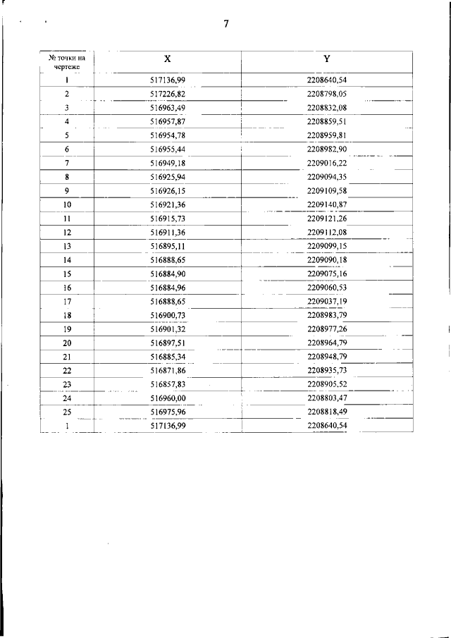
"Об утверждении проекта планировки территории в границах улиц Дорожная, Центральная, Учительская, Полевая и проект межевания территории по улице Студгородок в поселке Новинки города Нижнего Новгорода"
(Зарегистрирован 27.10.2020 № 15720-330-007-02-03/110)
Номер опубликования: 5201202010300006
Дата опубликования: 30.10.2020
Страница №9 из 12:
Увеличить