Официальное опубликование правовых актов
ОФИЦИАЛЬНОЕ ОПУБЛИКОВАНИЕ
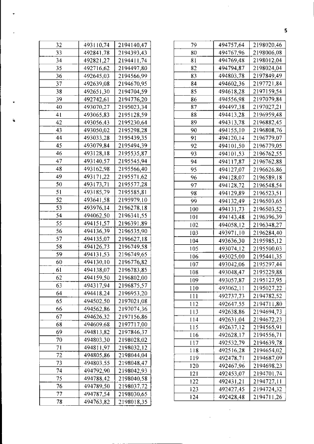
Приказ Министерства градостроительной деятельности и развития агломераций Нижегородской области от 29.09.2020 № 06-01-03/39
"Об утверждении проекта планировки и межевания территории в деревнях Алистеево, Чижково, Куликово Богородского района Нижегородской области"
(Зарегистрирован 20.10.2020 № 15665-330-006-01-03/39)
Номер опубликования: 5201202010210006
Дата опубликования: 21.10.2020
Страница №7 из 31:
Увеличить