Официальное опубликование правовых актов
ОФИЦИАЛЬНОЕ ОПУБЛИКОВАНИЕ
Приказ Министерства экологии и природных ресурсов Нижегородской области от 21.09.2020 № 319-375/20П/од
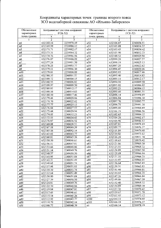
"Об установлении зон санитарной охраны водозабора подземных вод АО "Ильино-Заборское", расположенного в с. Ильино-Заборское городского округа Семеновский Нижегородской области"
(Зарегистрирован 13.10.2020 № 15647-319-319-375/20П/од)
Номер опубликования: 5201202010160007
Дата опубликования: 16.10.2020
Страница №6 из 8:
Увеличить