Официальное опубликование правовых актов
ОФИЦИАЛЬНОЕ ОПУБЛИКОВАНИЕ
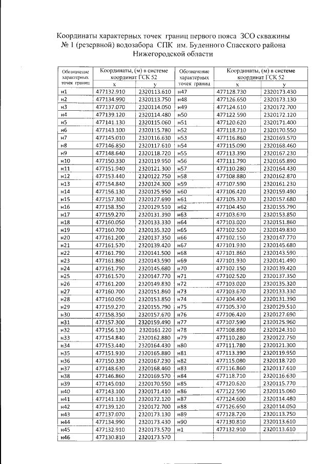
Приказ Министерства экологии и природных ресурсов Нижегородской области от 08.09.2020 № 319-363/20П/од
"Об установлении зоны санитарной охраны водозабора СПК им. Буденного Спасского района Нижегородской области"
(Зарегистрирован 30.09.2020 № 15562-319-319-363/20П/од)
Номер опубликования: 5201202010020007
Дата опубликования: 02.10.2020
Страница №4 из 11:
Увеличить