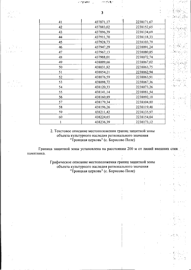
Приказ Управления государственной охраны объектов культурного наследия Нижегородской области от 09.09.2020 № 258
"Об утверждении описания местоположения границ защитных зон объектов культурного наследия, расположенных на территории Вадского района Нижегородской области, режима использования земель в границах защитных зон объектов культурного наследия"
(Зарегистрирован 28.09.2020 № 15550-518-258)
"Об утверждении описания местоположения границ защитных зон объектов культурного наследия, расположенных на территории Вадского района Нижегородской области, режима использования земель в границах защитных зон объектов культурного наследия"
(Зарегистрирован 28.09.2020 № 15550-518-258)
Номер опубликования: 5201202010020003
Дата опубликования:
02.10.2020
