Официальное опубликование правовых актов
ОФИЦИАЛЬНОЕ ОПУБЛИКОВАНИЕ
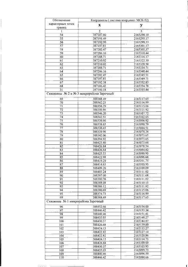
Приказ Министерства экологии и природных ресурсов Нижегородской области от 10.08.2020 № 319-331/20П/од
"Об установлении зон санитарной охраны водозаборного участка МП "Дивеевское ЖКХ", расположенного на территории с. Дивеево Дивеевского муниципального округа Нижегородской области"
(Зарегистрирован 31.08.2020 № 15456-319-319-331/20П/од)
Номер опубликования: 5201202009030008
Дата опубликования: 03.09.2020
Страница №7 из 19:
Увеличить