Официальное опубликование правовых актов
ОФИЦИАЛЬНОЕ ОПУБЛИКОВАНИЕ
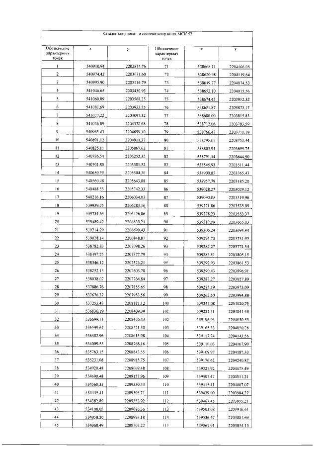
Приказ Министерства экологии и природных ресурсов Нижегородской области от 31.07.2020 № 319-320/20П/од
"Об установлении зоны санитарной охраны водопроводной станции Ново-Сормовская АО "Нижегородский водоканал", расположенной на реке Волге в Нижегородской области, городском округе город Нижний Новгород"
(Зарегистрирован 24.08.2020 № 15424-319-319-320/20П/од)
Номер опубликования: 5201202008270007
Дата опубликования: 27.08.2020
Страница №5 из 8:
Увеличить