Официальное опубликование правовых актов
ОФИЦИАЛЬНОЕ ОПУБЛИКОВАНИЕ
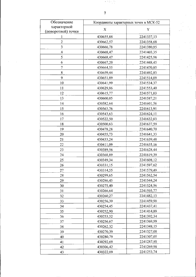
Приказ Управления государственной охраны объектов культурного наследия Нижегородской области от 03.08.2020 № 221
"Об утверждении описания местоположения границ защитных зон объектов культурного наследия, расположенных на территории Перевозского района Нижегородской области, режима использования земель в границах защитных зон объектов культурного наследия"
(Зарегистрирован 21.08.2020 № 15418-518-221)
Номер опубликования: 5201202008260001
Дата опубликования: 26.08.2020
Страница №9 из 23:
Увеличить