Приказ Управления государственной охраны объектов культурного наследия Нижегородской области от 03.08.2020 № 221
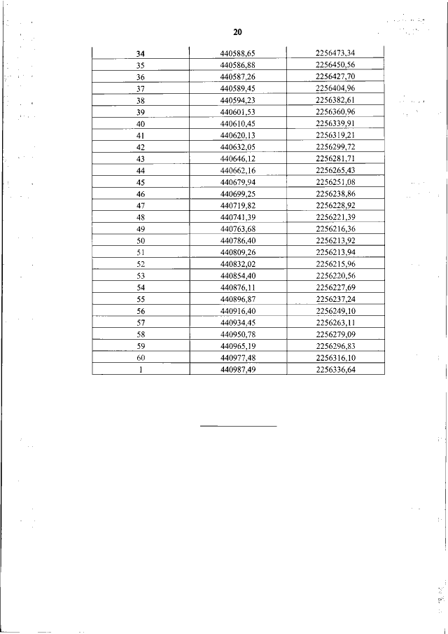
"Об утверждении описания местоположения границ защитных зон объектов культурного наследия, расположенных на территории Перевозского района Нижегородской области, режима использования земель в границах защитных зон объектов культурного наследия"
(Зарегистрирован 21.08.2020 № 15418-518-221)
"Об утверждении описания местоположения границ защитных зон объектов культурного наследия, расположенных на территории Перевозского района Нижегородской области, режима использования земель в границах защитных зон объектов культурного наследия"
(Зарегистрирован 21.08.2020 № 15418-518-221)
Номер опубликования: 5201202008260001
Дата опубликования:
26.08.2020
