Официальное опубликование правовых актов
ОФИЦИАЛЬНОЕ ОПУБЛИКОВАНИЕ
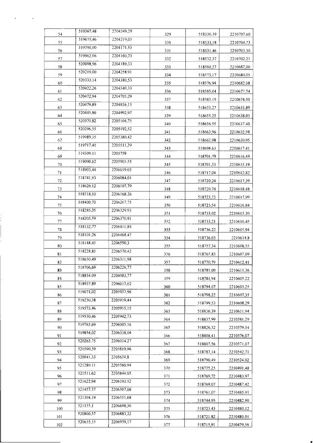
Приказ Министерства экологии и природных ресурсов Нижегородской области от 17.07.2020 № 319-306/20П/од
"Об установлении зон санитарной охраны водопроводных станций АО "Нижегородский водоканал" Малиновая гряда и Слудинская, расположенных на реке Оке в Нижегородской области, городском округе город Нижний Новгород"
(Зарегистрирован 12.08.2020 № 15397-319-319-306/20П/од)
Номер опубликования: 5201202008140004
Дата опубликования: 14.08.2020
Страница №6 из 14:
Увеличить