Приказ Управления государственной охраны объектов культурного наследия Нижегородской области от 20.07.2020 № 205
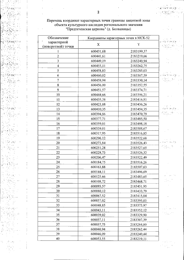
"Об утверждении описания местоположения границ защитных зон объектов культурного наследия, расположенных на территории Сокольского района Нижегородской области, режима использования земель в границах защитных зон объектов культурного наследия"
(Зарегистрирован 04.08.2020 № 15372-518-205)
"Об утверждении описания местоположения границ защитных зон объектов культурного наследия, расположенных на территории Сокольского района Нижегородской области, режима использования земель в границах защитных зон объектов культурного наследия"
(Зарегистрирован 04.08.2020 № 15372-518-205)
Номер опубликования: 5201202008050011
Дата опубликования:
05.08.2020
