Официальное опубликование правовых актов
ОФИЦИАЛЬНОЕ ОПУБЛИКОВАНИЕ
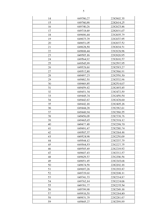
Приказ Управления государственной охраны объектов культурного наследия Нижегородской области от 20.07.2020 № 212
"Об утверждении описания местоположения границ защитных зон объектов культурного наследия, расположенных на территории Варнавинского района Нижегородской области, режима использования земель в границах защитных зон объектов культурного наследия"
(Зарегистрирован 03.08.2020 № 15366-518-212)
Номер опубликования: 5201202008050002
Дата опубликования: 05.08.2020
Страница №7 из 26:
Увеличить