Официальное опубликование правовых актов
ОФИЦИАЛЬНОЕ ОПУБЛИКОВАНИЕ
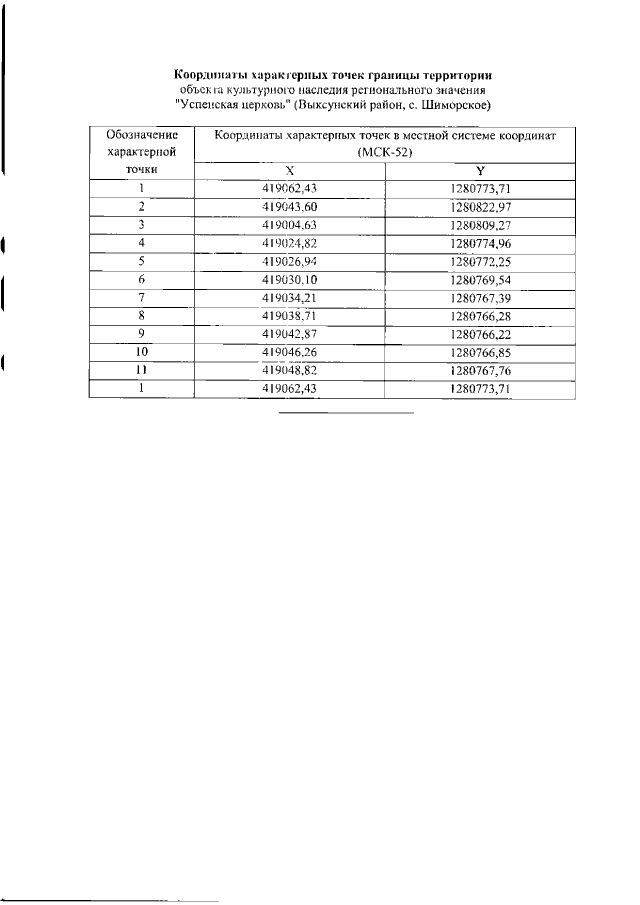
Приказ Управления государственной охраны объектов культурного наследия Нижегородской области от 23.04.2020 № 155
"Об утверждении границы и режима использования территории объекта культурного наследия регионального значения "Успенская церковь" (Выксунский район, с. Шиморское)"
(Зарегистрирован 27.05.2020 № 15168-518-155)
Номер опубликования: 5201202005290004
Дата опубликования: 29.05.2020
Страница №4 из 6:
Увеличить