Официальное опубликование правовых актов
ОФИЦИАЛЬНОЕ ОПУБЛИКОВАНИЕ
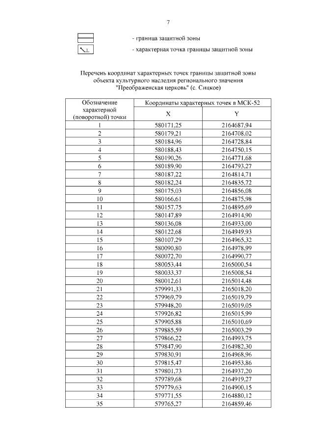
Приказ Управления государственной охраны объектов культурного наследия Нижегородской области от 24.03.2020 № 133
"Об утверждении описания местоположения границ защитных зон объектов культурного наследия, расположенных на территории Чкаловского района Нижегородской области, режима использования земель в границах защитных зон объектов культурного наследия"
(Зарегистрирован 13.04.2020 № 15056-518-133)
Номер опубликования: 5201202004160006
Дата опубликования: 16.04.2020
Страница №9 из 16:
Увеличить