Официальное опубликование правовых актов
ОФИЦИАЛЬНОЕ ОПУБЛИКОВАНИЕ
Приказ Управления государственной охраны объектов культурного наследия Нижегородской области от 24.03.2020 № 132
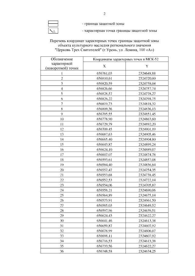
"Об утверждении описания местоположения границ защитных зон объектов культурного наследия, расположенных на территории Уренского района Нижегородской области, режима использования земель в границах защитных зон объектов культурного наследия"
(Зарегистрирован 13.04.2020 № 15051-518-132)
Номер опубликования: 5201202004150003
Дата опубликования: 15.04.2020
Страница №4 из 11:
Увеличить