Официальное опубликование правовых актов
ОФИЦИАЛЬНОЕ ОПУБЛИКОВАНИЕ
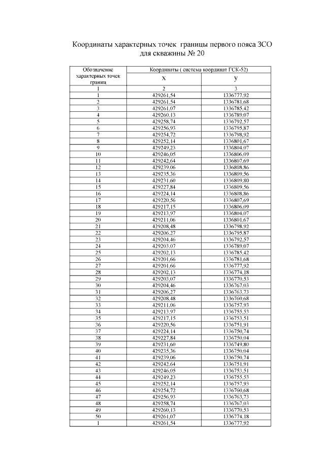
Приказ Министерства экологии и природных ресурсов Нижегородской области от 19.03.2020 № 319-165/20П/од
"Об установлении зон санитарной охраны скважин МУП "Райводоканал" №№ 20, 21, 2, 5009, 5010 в г.о.г. Кулебаки Нижегородской области"
(Зарегистрирован 13.04.2020 № 15052-319-319-165/20П/од)
Номер опубликования: 5201202004150001
Дата опубликования: 15.04.2020
Страница №4 из 20:
Увеличить