Официальное опубликование правовых актов
ОФИЦИАЛЬНОЕ ОПУБЛИКОВАНИЕ
Приказ Управления государственной охраны объектов культурного наследия Нижегородской области от 13.03.2020 № 111
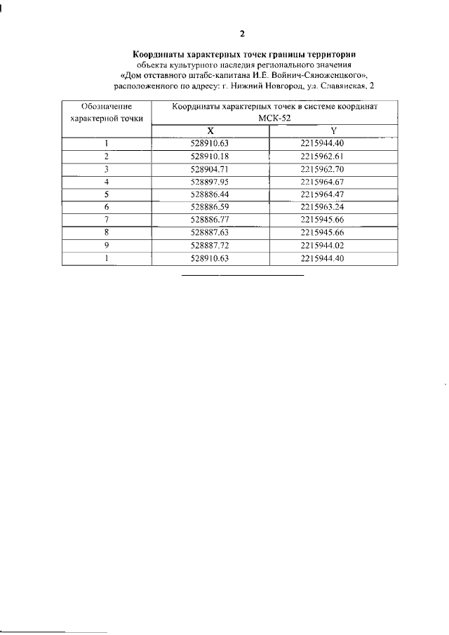
"О включении в единый государственный реестр объектов культурного наследия (памятников истории и культуры) народов Российской Федерации объекта культурного наследия регионального значения "Дом отставного штабс-капитана И.Е. Войнич- Сяноженцкого" (г. Нижний Новгород, ул. Славянская, 2), утверждении границ и режима использования его территории"
(Зарегистрирован 30.03.2020 № 14990-518-111)
Номер опубликования: 5201202004030003
Дата опубликования: 03.04.2020
Страница №4 из 6:
Увеличить