Официальное опубликование правовых актов
ОФИЦИАЛЬНОЕ ОПУБЛИКОВАНИЕ
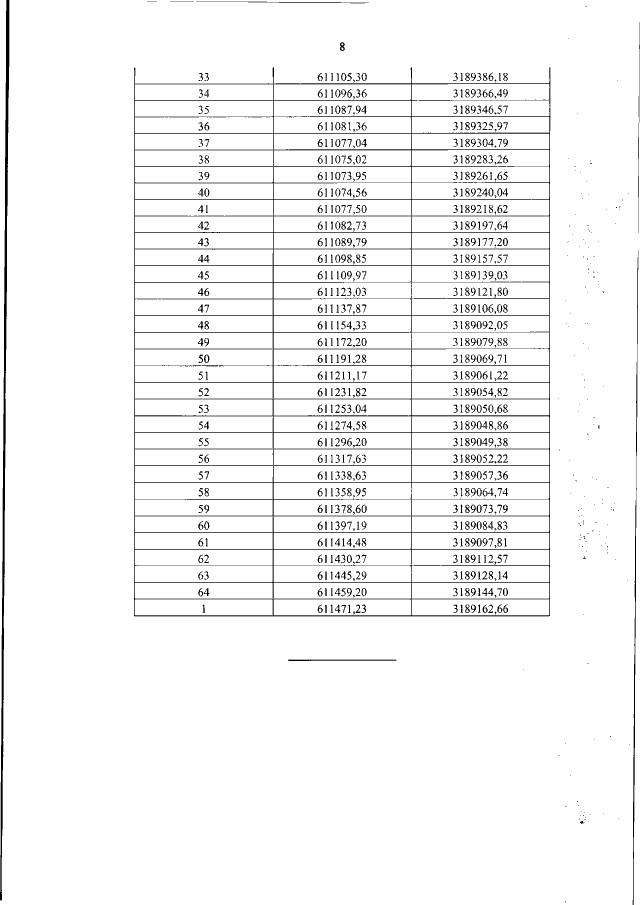
Приказ Управления государственной охраны объектов культурного наследия Нижегородской области от 27.02.2020 № 91
"Об утверждении описания местоположения границ защитных зон объектов культурного наследия, расположенных на территории Шарангского района Нижегородской области, режима использования земель в границах защитных зон объектов культурного наследия"
(Зарегистрирован 16.03.2020 № 14918-518-091)
Номер опубликования: 5201202003170001
Дата опубликования: 17.03.2020
Страница №10 из 11:
Увеличить