Официальное опубликование правовых актов
ОФИЦИАЛЬНОЕ ОПУБЛИКОВАНИЕ
Приказ Управления государственной охраны объектов культурного наследия Нижегородской области от 26.02.2020 № 85
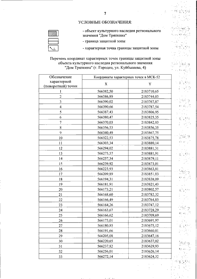
"Об утверждении описания местоположения границ защитных зон объектов культурного наследия регионального значения, расположенных на территории г. Нижнего Новгорода и г. Городца‚ режима использования земель в границах защитных зон объектов культурного наследия"
(Зарегистрирован 12.03.2020 № 14906-518-085)
Номер опубликования: 5201202003130002
Дата опубликования: 13.03.2020
Страница №9 из 11:
Увеличить