Официальное опубликование правовых актов
ОФИЦИАЛЬНОЕ ОПУБЛИКОВАНИЕ
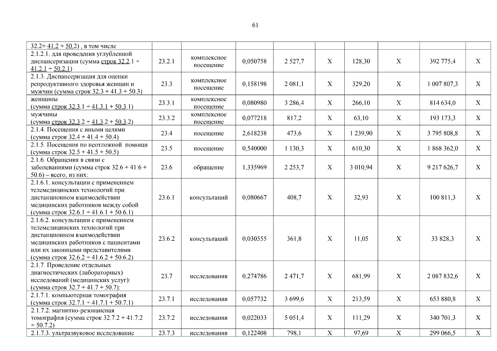
Постановление Правительства Нижегородской области от 17.12.2025 № 753
"О территориальной программе государственных гарантий бесплатного оказания гражданам медицинской помощи в Нижегородской области на 2026 год и на плановый период 2027 и 2028 годов"
Номер опубликования: 5200202512190004
Дата опубликования: 19.12.2025
Страница №197 из 714:
Увеличить