Официальное опубликование правовых актов
ОФИЦИАЛЬНОЕ ОПУБЛИКОВАНИЕ
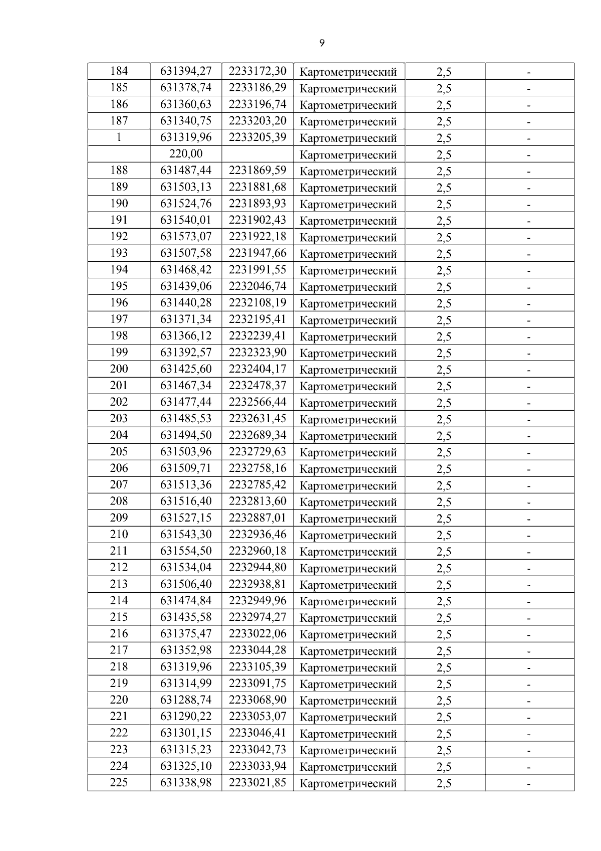
Указ Губернатора Нижегородской области от 04.07.2025 № 129
"Об установлении охранной зоны памятника природы регионального значения "Болото Мазовское - II"
Номер опубликования: 5200202507070003
Дата опубликования: 07.07.2025
Страница №11 из 21:
Увеличить