Официальное опубликование правовых актов
ОФИЦИАЛЬНОЕ ОПУБЛИКОВАНИЕ
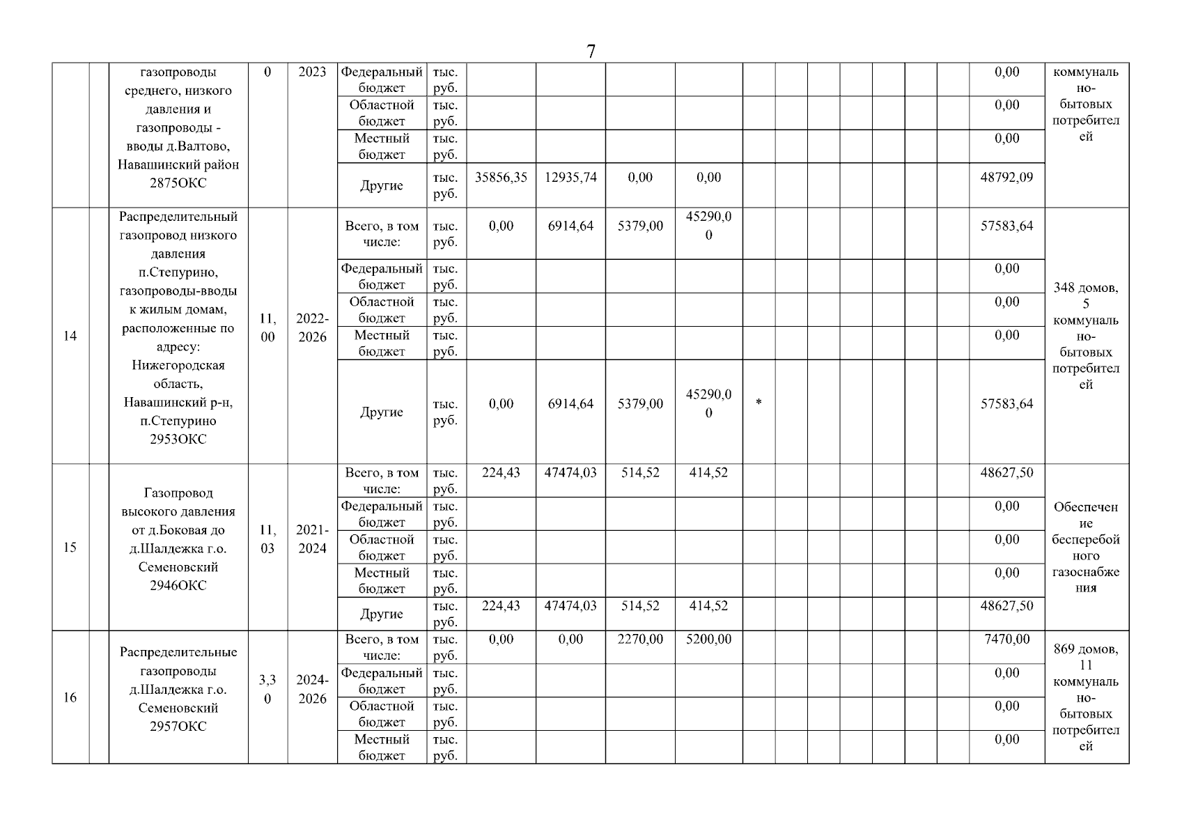
Постановление Правительства Нижегородской области от 30.06.2025 № 441
"О внесении изменений в региональную программу газификации жилищно-коммунального хозяйства, промышленных и иных организаций Нижегородской области на 2022–2032 годы, утвержденную постановлением Правительства Нижегородской области от 30 декабря 2021 г. № 1247"
Номер опубликования: 5200202507030001
Дата опубликования: 03.07.2025
Страница №8 из 10530:
Увеличить