Официальное опубликование правовых актов
ОФИЦИАЛЬНОЕ ОПУБЛИКОВАНИЕ
Постановление Правительства Нижегородской области от 25.02.2025 № 128
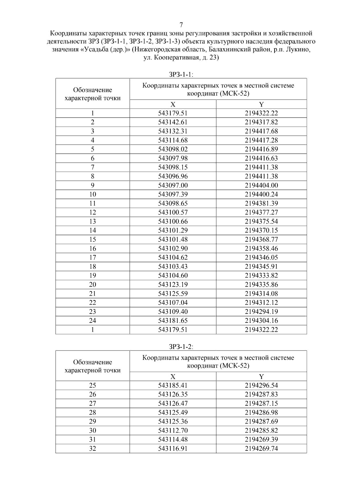
"Об установлении зон охраны объекта культурного наследия федерального значения "Усадьба (дер.)" (Нижегородская область, Балахнинский район, р.п. Лукино, ул. Кооперативная, д. 23 ), утверждении режимов использования земель и требований к градостроительным регламентам в границах территорий данных зон"
Номер опубликования: 5200202502270003
Дата опубликования: 27.02.2025
Страница №10 из 17:
Увеличить