Официальное опубликование правовых актов
ОФИЦИАЛЬНОЕ ОПУБЛИКОВАНИЕ
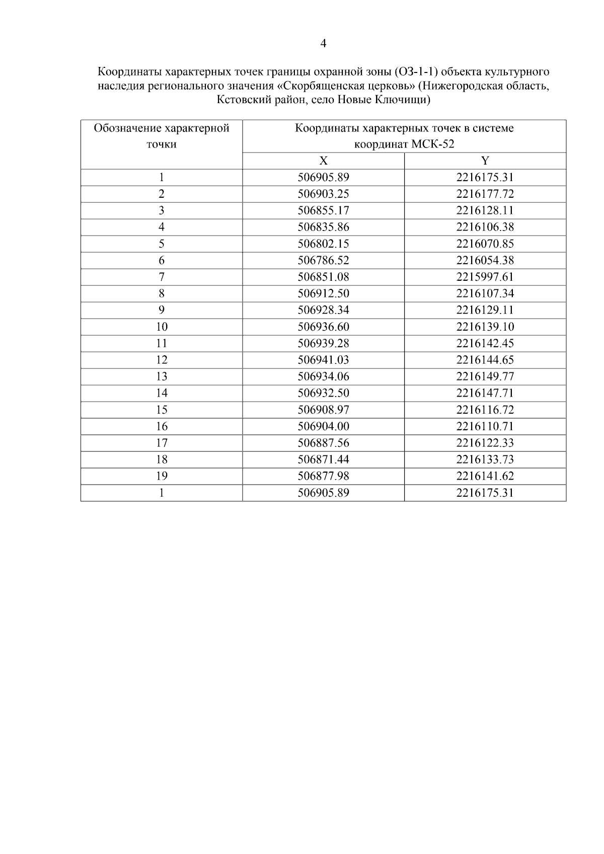
Постановление Правительства Нижегородской области от 18.12.2024 № 802
"Об установлении зон охраны объекта культурного наследия регионального значения "Скорбященская церковь" (Нижегородская область, Кстовский район, село Новые Ключищи), утверждении режимов использования земель и требований к градостроительным регламентам в границах территорий данных зон"
Номер опубликования: 5200202412230025
Дата опубликования: 23.12.2024
Страница №7 из 24:
Увеличить