Официальное опубликование правовых актов
ОФИЦИАЛЬНОЕ ОПУБЛИКОВАНИЕ
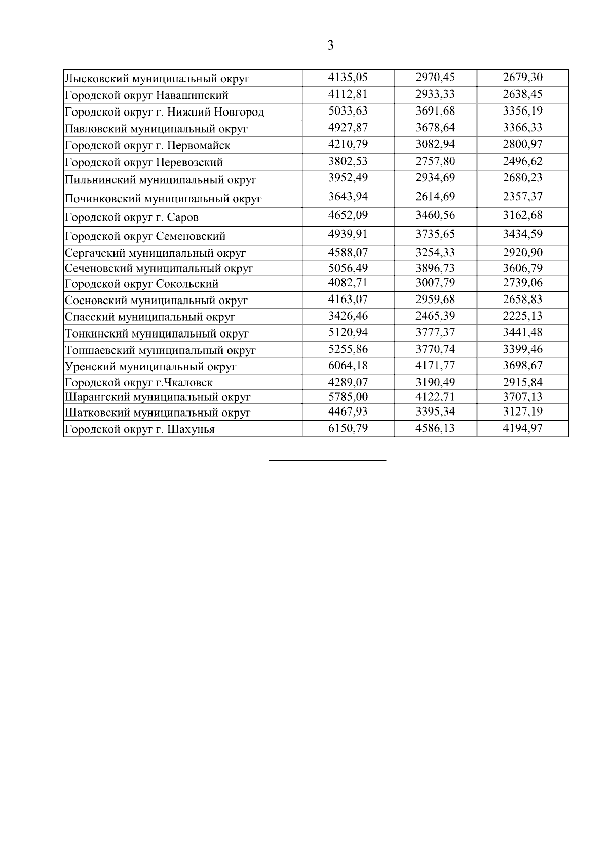
Постановление Правительства Нижегородской области от 30.08.2024 № 515
"О региональных стандартах стоимости жилищно- коммунальных услуг, используемых для расчета субсидий на оплату жилого помещения и коммунальных услуг на 3 - 4 кварталы 2024 года"
Номер опубликования: 5200202409030007
Дата опубликования: 03.09.2024
Страница №6 из 12:
Увеличить