Официальное опубликование правовых актов
ОФИЦИАЛЬНОЕ ОПУБЛИКОВАНИЕ
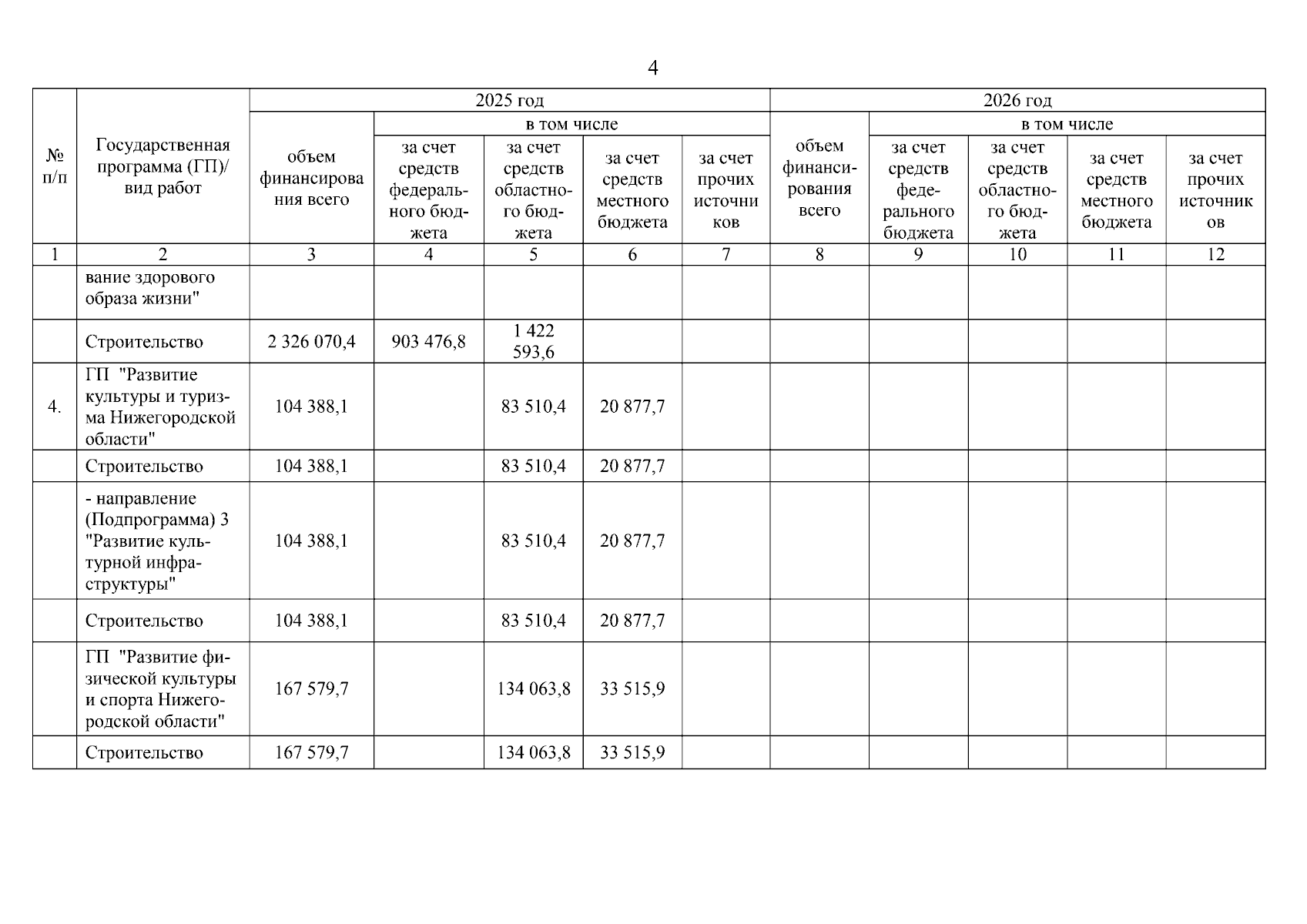
Постановление Правительства Нижегородской области от 27.06.2024 № 384
"О внесении изменений в Адресную инвестиционную программу Нижегородской области на 2024—2026 годы, утвержденную постановлением Правительства Нижегородской области от 18 декабря 2023 г. № 1084"
Номер опубликования: 5200202407010003
Дата опубликования: 01.07.2024
Страница №21 из 451:
Увеличить