Официальное опубликование правовых актов
ОФИЦИАЛЬНОЕ ОПУБЛИКОВАНИЕ
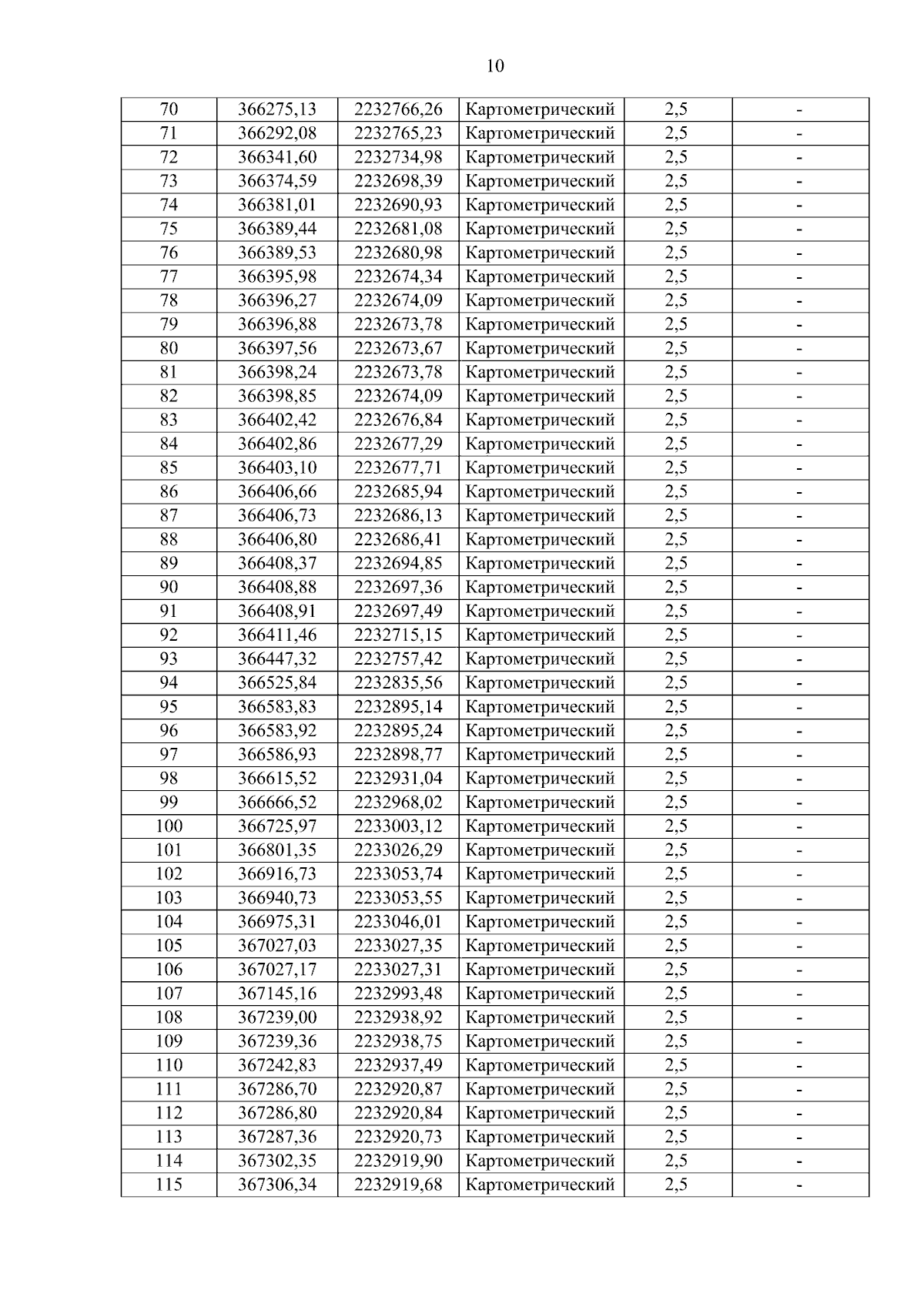
Постановление Правительства Нижегородской области от 13.06.2024 № 351
"О реорганизации государственного памятника природы местного значения "Пруд имени С.А.Бурова", расположенного в Лукояновском муниципальном округе Нижегородской области"
Номер опубликования: 5200202406180001
Дата опубликования: 18.06.2024
Страница №11 из 14:
Увеличить