Официальное опубликование правовых актов
ОФИЦИАЛЬНОЕ ОПУБЛИКОВАНИЕ
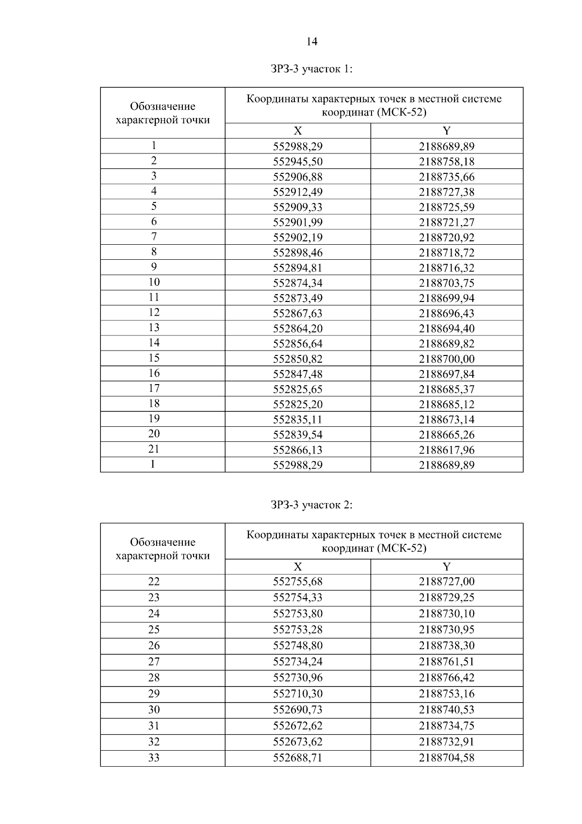
Постановление Правительства Нижегородской области от 07.06.2024 № 343
"Об установлении зон охраны объекта культурного наследия регионального значения "Ансамбль площади" (Нижегородская область, г. Балахна, пр. Дзержинского, д. 38, д. 40, ул. Горького, д. 13), утверждении требований к градостроительным регламентам в границах территорий данных зон"
Номер опубликования: 5200202406110004
Дата опубликования: 11.06.2024
Страница №16 из 29:
Увеличить