Официальное опубликование правовых актов
ОФИЦИАЛЬНОЕ ОПУБЛИКОВАНИЕ
Постановление Правительства Нижегородской области от 05.06.2024 № 332
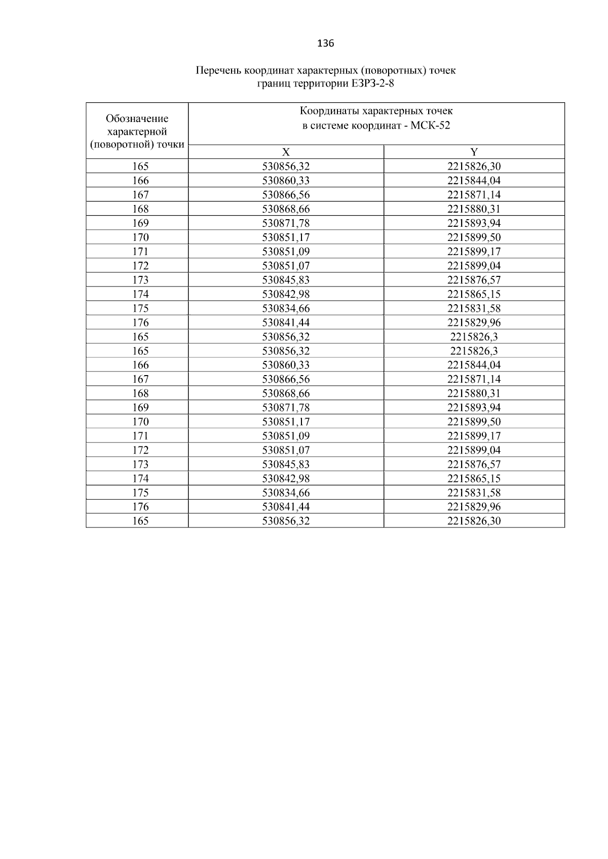
"Об установлении объединенной зоны охраны объектов культурного наследия, расположенных в г. Нижнем Новгороде, утверждении требований к градостроительным регламентам в границах территорий данной зоны, о внесении изменений в постановление Правительства Нижегородской области от 17 декабря 2014 г. № 905 и о признании утратившими силу некоторых постановлений Правительства Нижегородской области"
Номер опубликования: 5200202406070001
Дата опубликования: 07.06.2024
Страница №152 из 232:
Увеличить