Официальное опубликование правовых актов
ОФИЦИАЛЬНОЕ ОПУБЛИКОВАНИЕ
Постановление Правительства Нижегородской области от 23.05.2024 № 277
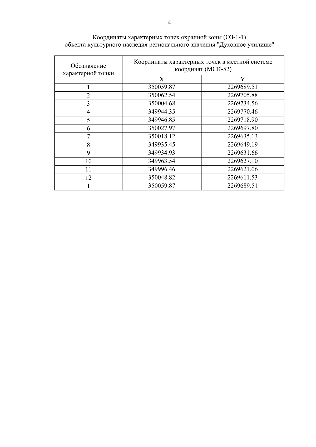
"Об установлении зон охраны объекта культурного наследия регионального значения "Духовное училище" (Нижегородская область, Починковский район, с. Починки, ул. Луначарского, д. 47), утверждении требований к градостроительным регламентам в границах территорий данных зон"
Номер опубликования: 5200202405270007
Дата опубликования: 27.05.2024
Страница №6 из 18:
Увеличить