Официальное опубликование правовых актов
ОФИЦИАЛЬНОЕ ОПУБЛИКОВАНИЕ
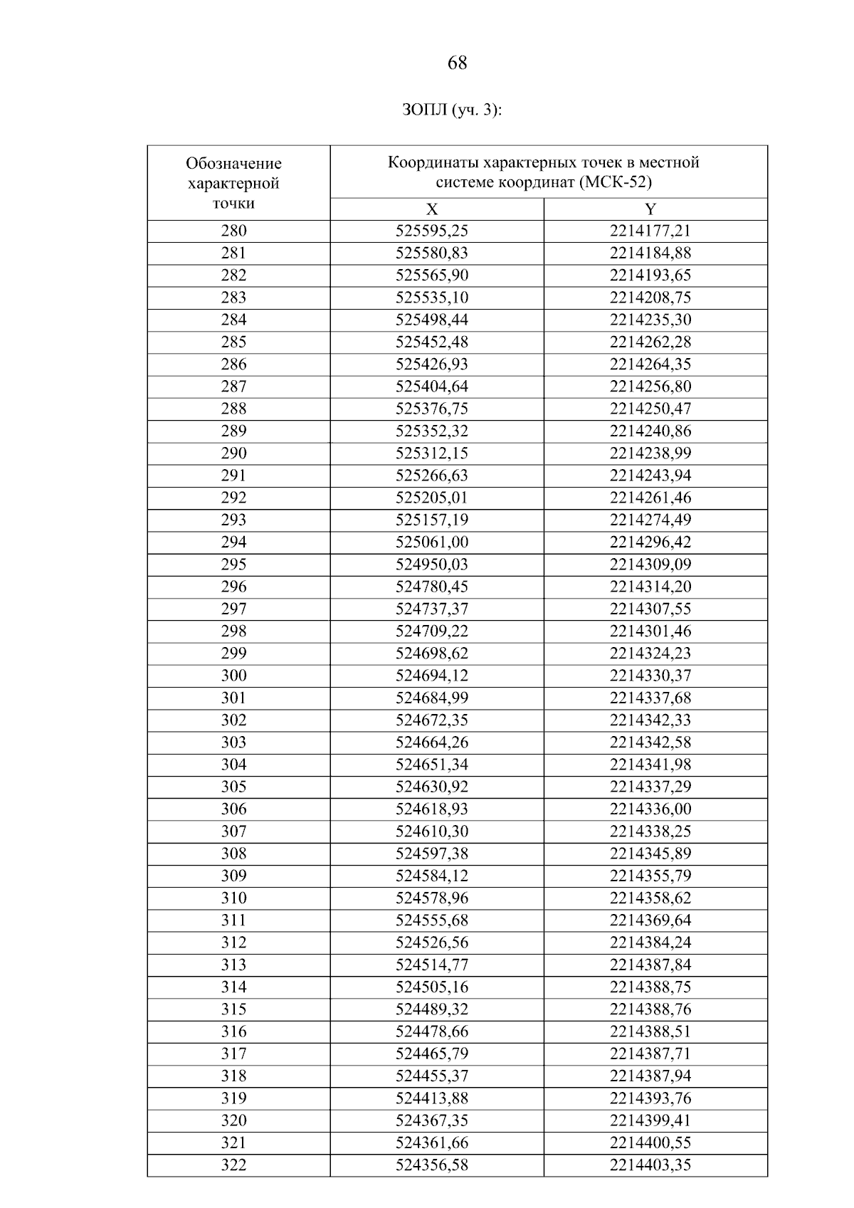
Постановление Правительства Нижегородской области от 01.04.2024 № 149
"О внесении изменений в постановление Правительства Нижегородской области от 26 июня 2020 г. № 514"
Номер опубликования: 5200202404030007
Дата опубликования: 03.04.2024
Страница №70 из 87:
Увеличить