Официальное опубликование правовых актов
ОФИЦИАЛЬНОЕ ОПУБЛИКОВАНИЕ
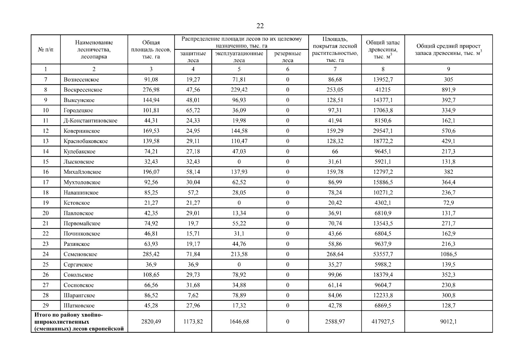
Указ Губернатора Нижегородской области от 26.02.2024 № 21
"Об утверждении изменений в Лесной план Нижегородской области, утвержденный Указом Губернатора Нижегородской области от 27 декабря 2018 г. № 179"
Номер опубликования: 5200202402280002
Дата опубликования: 28.02.2024
Страница №23 из 111:
Увеличить