Официальное опубликование правовых актов
ОФИЦИАЛЬНОЕ ОПУБЛИКОВАНИЕ
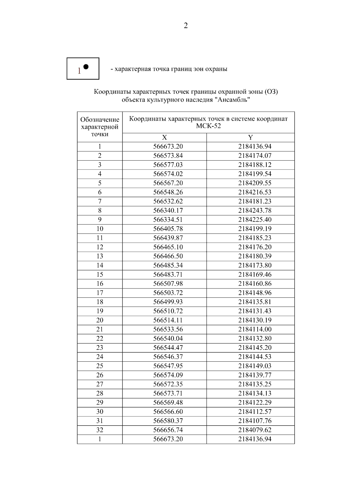
Постановление Правительства Нижегородской области от 05.12.2023 № 1046
"Об установлении зон охраны объекта культурного наследия регионального значения "Ансамбль" (Нижегородская область, Городецкий муниципальный округ, г. Городец; адрес в едином государственном реестре объектов культурного наследия (памятников истории и культуры) народов Российской Федерации: Нижегородская область, Городецкий район, г. Городец, пл. Пролетарская, д. № 42) и утверждении требований к градостроительным регламентам в границах территорий данных зон"
Номер опубликования: 5200202312060004
Дата опубликования: 06.12.2023
Страница №4 из 16:
Увеличить