Официальное опубликование правовых актов
ОФИЦИАЛЬНОЕ ОПУБЛИКОВАНИЕ
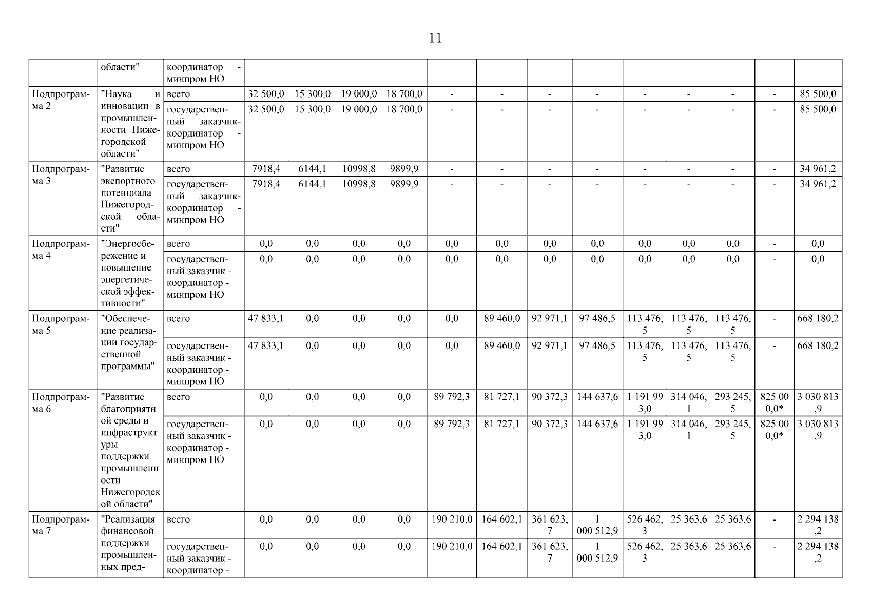
Постановление Правительства Нижегородской области от 16.10.2023 № 933
"О внесении изменений в государственную программу "Развитие промышленности и инноваций Нижегородской области", утвержденную постановлением Правительства Нижегородской области от 30 апреля 2014 г. № 297"
Номер опубликования: 5200202310190004
Дата опубликования: 19.10.2023
Страница №12 из 82:
Увеличить