Официальное опубликование правовых актов
ОФИЦИАЛЬНОЕ ОПУБЛИКОВАНИЕ
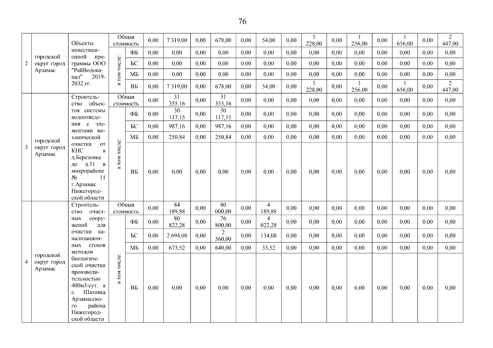
Постановление Правительства Нижегородской области от 12.10.2023 № 924
"О внесении изменений в государственную программу "Обеспечение населения Нижегородской области качественными услугами в сфере жилищно-коммунального хозяйства", утвержденную постановлением Правительства Нижегородской области от 30 апреля 2014 г. № 305"
Номер опубликования: 5200202310130001
Дата опубликования: 13.10.2023
Страница №77 из 166:
Увеличить