Официальное опубликование правовых актов
ОФИЦИАЛЬНОЕ ОПУБЛИКОВАНИЕ
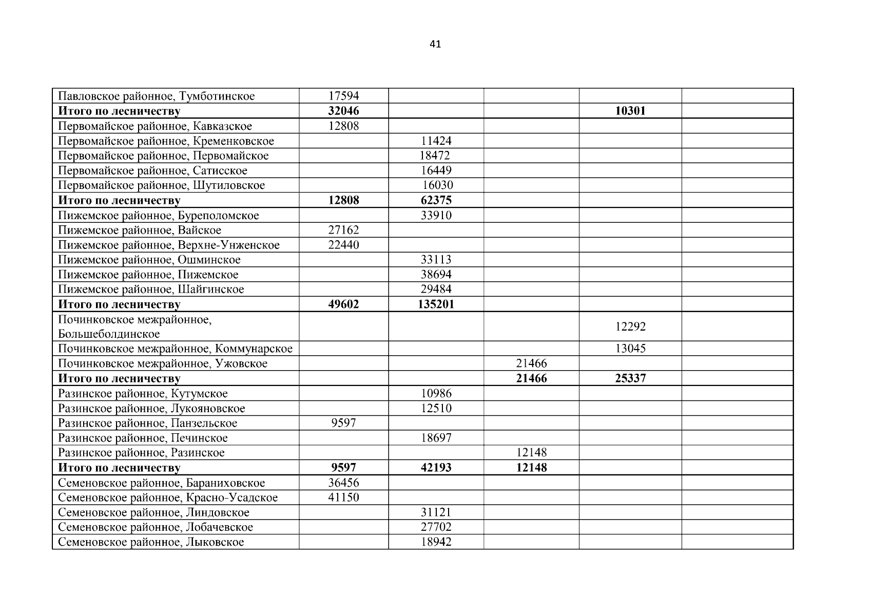
Указ Губернатора Нижегородской области от 22.09.2023 № 232
"Об утверждении изменений в Лесной план Нижегородской области, утвержденный Указом Губернатора Нижегородской области от 27 декабря 2018 г. № 179"
Номер опубликования: 5200202309260011
Дата опубликования: 26.09.2023
Страница №42 из 44:
Увеличить