Официальное опубликование правовых актов
ОФИЦИАЛЬНОЕ ОПУБЛИКОВАНИЕ
Постановление Правительства Нижегородской области от 25.08.2023 № 783
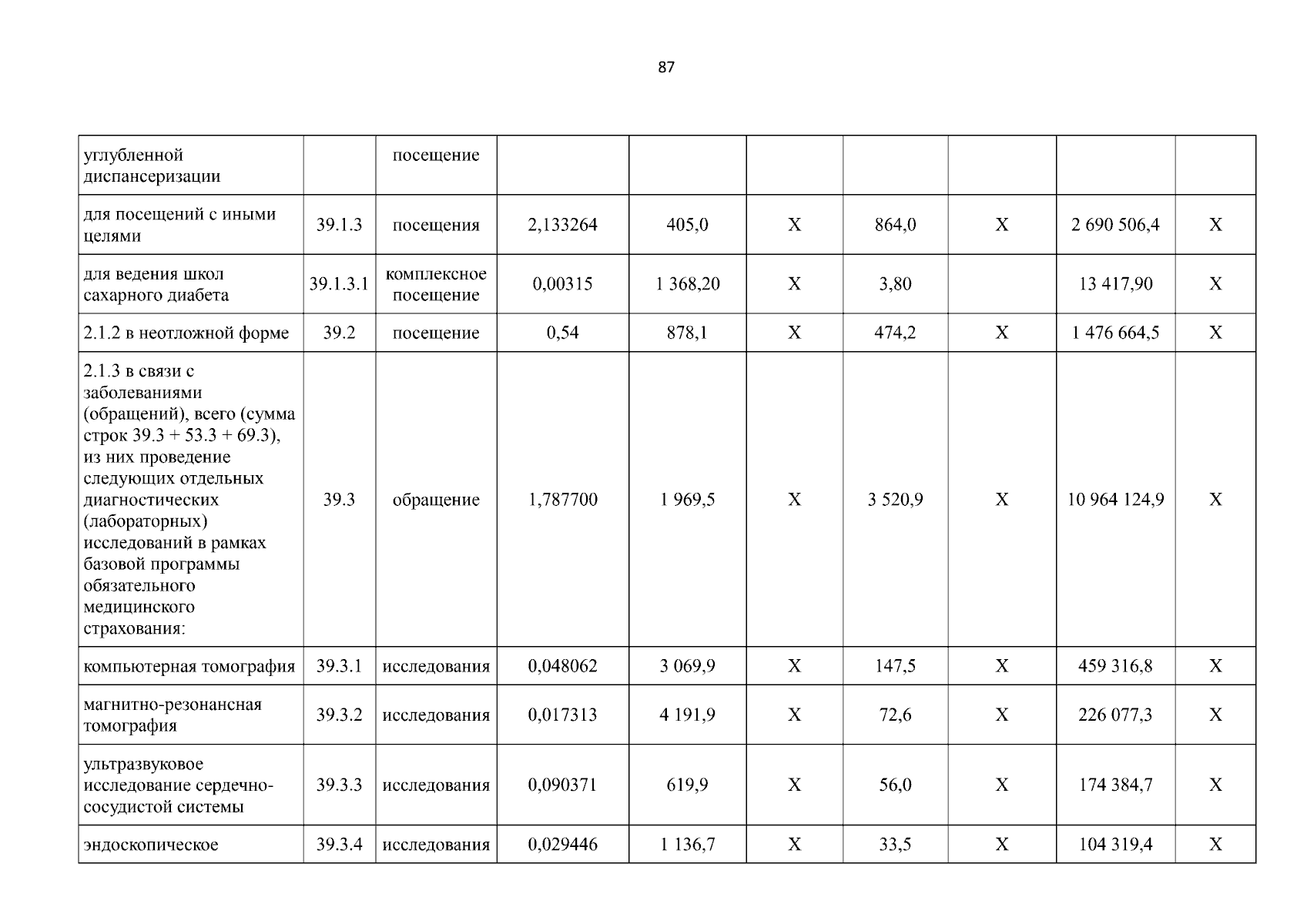
"О внесении изменений в Программу государственных гарантий бесплатного оказания населению Нижегородской области медицинской помощи на 2023 год и на плановый период 2024 и 2025 годов, утвержденную постановлением Правительства Нижегородской области от 29 декабря 2022 г. № 1160"
Номер опубликования: 5200202308280020
Дата опубликования: 28.08.2023
Страница №92 из 112:
Увеличить