Официальное опубликование правовых актов
ОФИЦИАЛЬНОЕ ОПУБЛИКОВАНИЕ
Постановление Правительства Нижегородской области от 16.05.2023 № 416
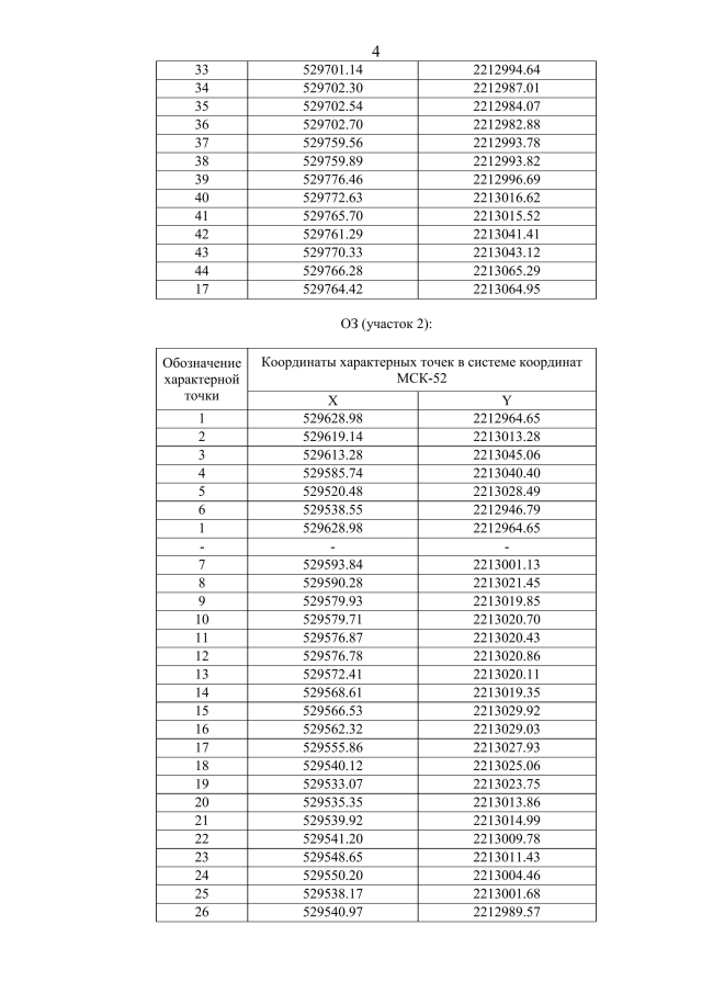
"Об установлении зон охраны объекта культурного наследия регионального значения "Городская усадьба: 1. Главный дом. 2. Лавка. 3. Кирпичные ворота" (г. Нижний Новгород, ул. Алеши Пешкова, 23/21 (литера А), ул. Даля, 23 (литера А)) и утверждении требований к градостроительным регламентам в границах территорий данных зон"
Номер опубликования: 5200202305190007
Дата опубликования: 19.05.2023
Страница №6 из 16:
Увеличить