Официальное опубликование правовых актов
ОФИЦИАЛЬНОЕ ОПУБЛИКОВАНИЕ
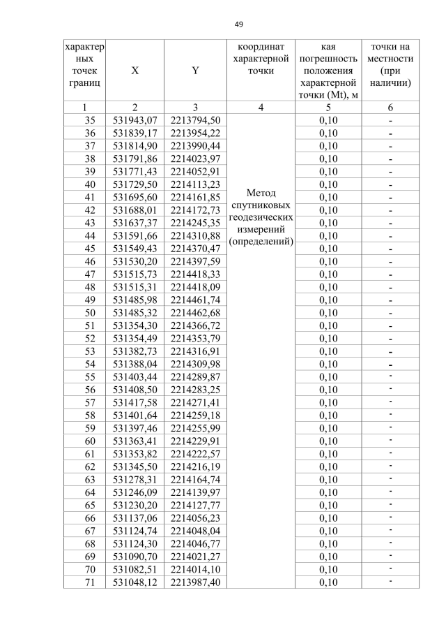
Постановление Правительства Нижегородской области от 17.03.2023 № 218
"Об установлении объединенной зоны охраны объектов культурного наследия, расположенных в г. Нижнем Новгороде, утверждении требований к градостроительным регламентам в границах территорий данной зоны и о признании утратившими силу некоторых постановлений Правительства Нижегородской области"
Номер опубликования: 5200202303210007
Дата опубликования: 21.03.2023
Страница №53 из 85:
Увеличить