Официальное опубликование правовых актов
ОФИЦИАЛЬНОЕ ОПУБЛИКОВАНИЕ
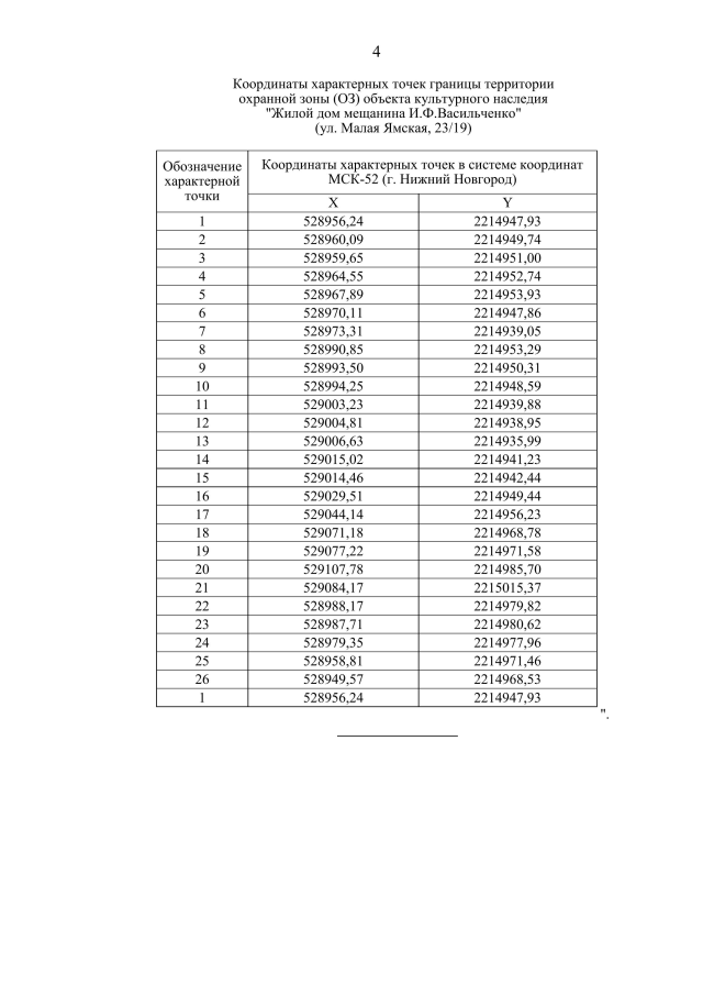
Постановление Правительства Нижегородской области от 19.01.2023 № 32
"О внесении изменений в постановление Правительства Нижегородской области от 8 июня 2022 г. № 426"
Номер опубликования: 5200202301230003
Дата опубликования: 23.01.2023
Страница №5 из 15:
Увеличить